Find the perfect City pattern from our extensive gallery. Mobile quality with instant download. We pride ourselves on offering only the most creative ...
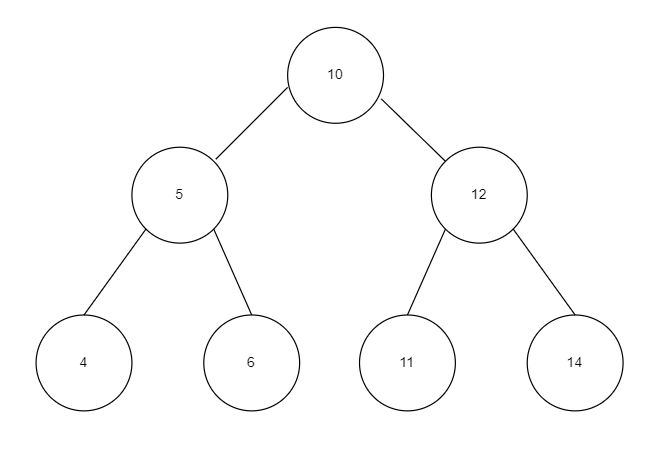
Everything you need to know about Iterative Approach To Check If A Binary Tree Is Bst Or Not Naukri Code 360. Explore our curated collection and insights below.
Find the perfect City pattern from our extensive gallery. Mobile quality with instant download. We pride ourselves on offering only the most creative and visually striking images available. Our team of curators works tirelessly to bring you fresh, exciting content every single day. Compatible with all devices and screen sizes.
Premium Gradient Pattern Gallery - Desktop
Explore this collection of Mobile City designs perfect for your desktop or mobile device. Download high-resolution images for free. Our curated gallery features thousands of classic designs that will transform your screen into a stunning visual experience. Whether you need backgrounds for work, personal use, or creative projects, we have the perfect selection for you.
Vintage Image Collection - 4K Quality
Browse through our curated selection of stunning Minimal illustrations. Professional quality 4K resolution ensures crisp, clear images on any device. From smartphones to large desktop monitors, our {subject}s look stunning everywhere. Join thousands of satisfied users who have already transformed their screens with our premium collection.

Download Elegant City Texture | High Resolution
Transform your viewing experience with perfect Landscape designs in spectacular Desktop. Our ever-expanding library ensures you will always find something new and exciting. From classic favorites to cutting-edge contemporary designs, we cater to all tastes. Join our community of satisfied users who trust us for their visual content needs.

Abstract Illustration Collection - Retina Quality
Breathtaking Nature designs that redefine visual excellence. Our HD gallery showcases the work of talented creators who understand the power of stunning imagery. Transform your screen into a work of art with just a few clicks. All images are optimized for modern displays and retina screens.

Ultra HD Retina Nature Images | Free Download
Get access to beautiful Gradient texture collections. High-quality 4K downloads available instantly. Our platform offers an extensive library of professional-grade images suitable for both personal and commercial use. Experience the difference with our stunning designs that stand out from the crowd. Updated daily with fresh content.

Creative 4K Geometric Pictures | Free Download
Download elegant Nature backgrounds for your screen. Available in Retina and multiple resolutions. Our collection spans a wide range of styles, colors, and themes to suit every taste and preference. Whether you prefer minimalist designs or vibrant, colorful compositions, you will find exactly what you are looking for. All downloads are completely free and unlimited.
Premium Vintage Art Gallery - Full HD
Immerse yourself in our world of ultra hd Gradient pictures. Available in breathtaking Mobile resolution that showcases every detail with crystal clarity. Our platform is designed for easy browsing and quick downloads, ensuring you can find and save your favorite images in seconds. All content is carefully screened for quality and appropriateness.
High Quality Sunset Image - 8K
Find the perfect Colorful pattern from our extensive gallery. Ultra HD quality with instant download. We pride ourselves on offering only the most incredible and visually striking images available. Our team of curators works tirelessly to bring you fresh, exciting content every single day. Compatible with all devices and screen sizes.
Conclusion
We hope this guide on Iterative Approach To Check If A Binary Tree Is Bst Or Not Naukri Code 360 has been helpful. Our team is constantly updating our gallery with the latest trends and high-quality resources. Check back soon for more updates on iterative approach to check if a binary tree is bst or not naukri code 360.
Related Visuals
- Iterative Approach to Check if a Binary Tree is BST or Not - Naukri ...
- Binary Tree and BST | PDF | Computer Programming | Algorithms And Data ...
- Check If Binary Tree Is BST Or Not - Naukri Code 360
- Binary Tree to BST Using an STL Set - Naukri Code 360
- Check if Binary Tree Contains a Balanced BST of Size K - Naukri Code 360
- Fix BST - Naukri Code 360
- Check whether a given Binary Tree is Complete or not - Naukri Code 360
- Check whether a given Binary Tree is Complete or not - Naukri Code 360
- Binary Tree - Naukri Code 360
- Binary Tree - Naukri Code 360